
Title

The Eb Real Book, Sixth Edition,Used
Delivery time: 8-12 business days (International)
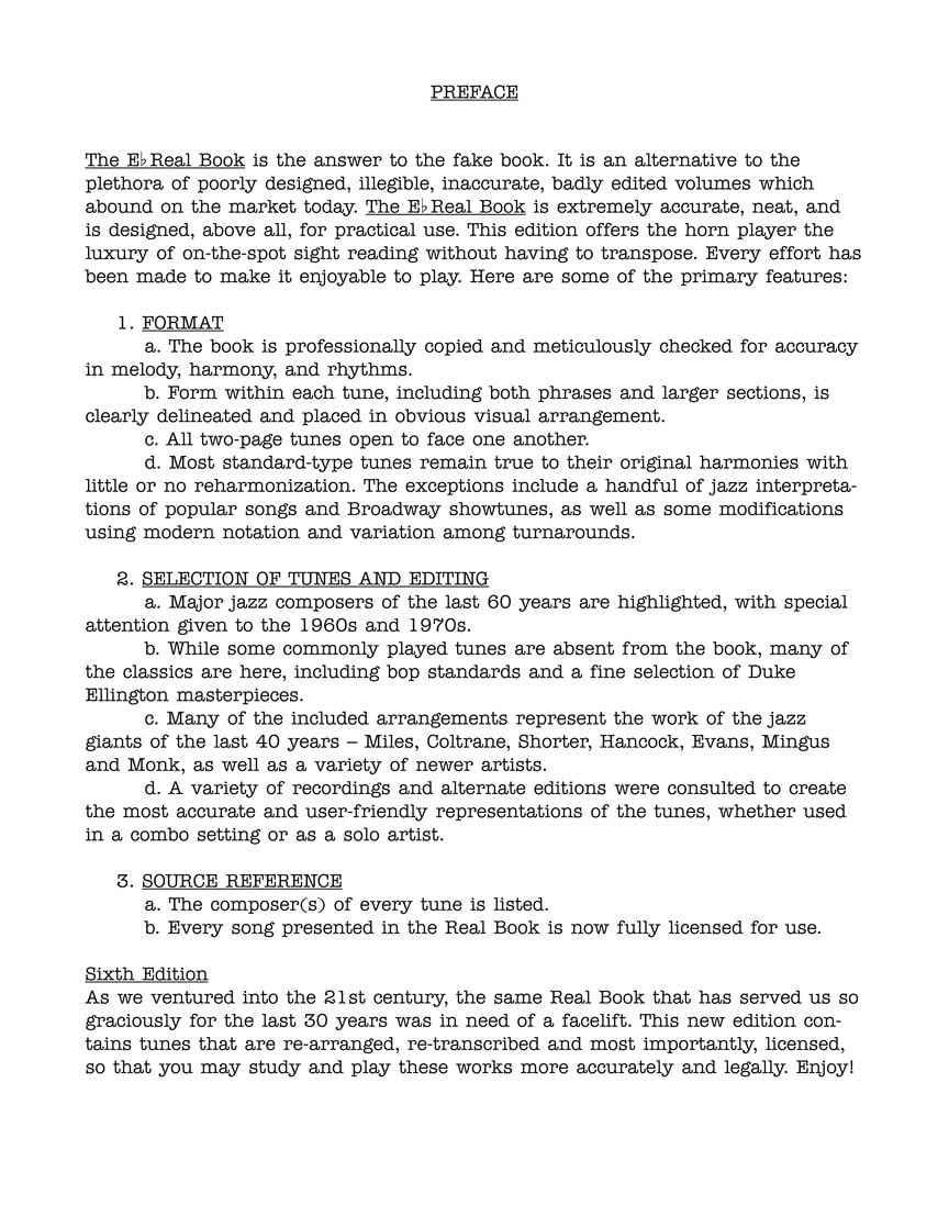
(Fake Book). The Real Books are the bestselling jazz books of all time. Since the 1970s, musicians have trusted these volumes to get them through every gig, night after night. The problem is that the books were illegally produced and distributed, without any regard to copyright law, or royalties paid to the composers who created these musical masterpieces. Hal Leonard is very proud to present the first legitimate and legal editions of these books ever produced. You won't even notice the difference, other than all the notorious errors being fixed: the covers and typeface look the same, the song list is nearly identical, and the price for our edition is even cheaper than the original! Every conscientious musician will appreciate that these books are now produced accurately and ethically, benefitting the songwriters that we owe for some of the greatest tunes of all time! Includes 400 songs: All Blues * Au Privave * Autumn Leaves * Black Orpheus * Bluesette * Body and Soul * Bright Size Life * Con Alma * Dolphin Dance * Don't Get Around Much Anymore * Easy Living * Epistrophy * Falling in Love with Love * Footprints * Four on Six * Giant Steps * Have You Met Miss Jones? * How High the Moon * I'll Remember April * Impressions * Lullaby of Birdland * Misty * My Funny Valentine * Oleo * Red Clay * Satin Doll * Sidewinder * Stella by Starlight * Take Five * There Is No Greater Love * Wave * and hundreds more! Editions also available in C, Bflat, and Bass Clef. Looking for a particular song? Check out the Real Book Songfinder here.
By changing our most important processes and
products, we have already made a big leap forward. This ranges from the
increased use of more sustainable fibers to the use of more
environmentally friendly printing processes to the development of
efficient waste management in our value chain.
⚠️ WARNING (California Proposition 65):
This product may contain chemicals known to the State of California to cause cancer, birth defects, or other reproductive harm.
For more information, please visit www.P65Warnings.ca.gov.
Shipping & Returns
Shipping
We ship your order within 2–3 business days for USA deliveries and 5–8 business days for international shipments. Once your package has been dispatched from our warehouse, you'll receive an email confirmation with a tracking number, allowing you to track the status of your delivery.
Returns
To facilitate a smooth return process, a Return Authorization (RA) Number is required for all returns. Returns without a valid RA number will be declined and may incur additional fees. You can request an RA number within 15 days of the original delivery date. For more details, please refer to our Return & Refund Policy page.
Shipping & Returns
Shipping
We ship your order within 2–3 business days for USA deliveries and 5–8 business days for international shipments. Once your package has been dispatched from our warehouse, you'll receive an email confirmation with a tracking number, allowing you to track the status of your delivery.
Returns
To facilitate a smooth return process, a Return Authorization (RA) Number is required for all returns. Returns without a valid RA number will be declined and may incur additional fees. You can request an RA number within 15 days of the original delivery date. For more details, please refer to our Return & Refund Policy page.
Warranty
We provide a 2-year limited warranty, from the date of purchase for all our products.
If you believe you have received a defective product, or are experiencing any problems with your product, please contact us.
This warranty strictly does not cover damages that arose from negligence, misuse, wear and tear, or not in accordance with product instructions (dropping the product, etc.).
Warranty
We provide a 2-year limited warranty, from the date of purchase for all our products.
If you believe you have received a defective product, or are experiencing any problems with your product, please contact us.
This warranty strictly does not cover damages that arose from negligence, misuse, wear and tear, or not in accordance with product instructions (dropping the product, etc.).
Secure Payment
Your payment information is processed securely. We do not store credit card details nor have access to your credit card information.
We accept payments with :
Visa, MasterCard, American Express, Paypal, Shopify Payments, Shop Pay and more.
Secure Payment
Your payment information is processed securely. We do not store credit card details nor have access to your credit card information.
We accept payments with :
Visa, MasterCard, American Express, Paypal, Shopify Payments, Shop Pay and more.
Related Products
You may also like
Frequently Asked Questions
- Q: What is the main purpose of The Eb Real Book, Sixth Edition? A: The Eb Real Book, Sixth Edition is designed as a comprehensive jazz sheet music book specifically for Eb instruments, such as alto saxophone and baritone saxophone, featuring 400 classic jazz standards and modern favorites.
- Q: Is The Eb Real Book, Sixth Edition ethically produced? A: Yes, this edition is the first ethically produced version of The Real Book, ensuring accuracy, legality, and respect for royalties.
- Q: How many pages does this book contain? A: The Eb Real Book, Sixth Edition contains a total of 464 pages.
- Q: What type of binding does this book have? A: This book is spiral-bound, making it easy to use during performances and practice sessions.
- Q: Who are the authors of The Eb Real Book, Sixth Edition? A: The authors of this book are various contributors, compiling a wide range of jazz standards.
- Q: What songs are included in The Eb Real Book, Sixth Edition? A: This edition includes popular songs such as All Blues, Autumn Leaves, Body and Soul, Take Five, and many more.
- Q: Can this book be used by music educators? A: Yes, The Eb Real Book, Sixth Edition is an essential resource for both performers and educators, suitable for teaching and building repertoire.
- Q: Is this book suitable for beginners? A: While it contains a variety of songs, The Eb Real Book, Sixth Edition is ideal for musicians looking to enhance their improvisation skills, making it suitable for intermediate to advanced players.
- Q: What is the item condition of The Eb Real Book, Sixth Edition? A: The book is listed as 'New', ensuring that it is in pristine condition for use.
- Q: What is the publication date of The Eb Real Book, Sixth Edition? A: The Eb Real Book, Sixth Edition was published on July 1, 2005.